You must be logged in to rate content!
6 minute(s) of a 377 minute read
9-27-2011
So I though I would add a couple of pictures of the offending item that stopped my fun at Combe. I have emailed Steve @ Zcars to see if they're covered under any form of warranty, I will keep you posted........

9-30-2011
Thanks to mini-Rustandoil (Mike) I got a few more photos of the car at Castle Combe. In the first picture you can see how much tyre roll I get on those big sidewalled rear tyres, defo time to get the 225/45's on there, also you can see how flat the car corners compared to the PUG205 race car behind. I think with new tyres, lower and stiffer rear springs it should handle really well in the corners, I jsut need to find the pace in my head to go quicker, also going around without a passenger will help matters. Anyhoo, enough of my ramblings here a couple of snaps courtesy of mini-rustandoil:



News on the ARB, my replacement was sent out yesterday, hoping to recieve today. - thanks Steve @ Zcars...
One slight problem - I wont get to test it out as my clutch gave out on me on Wednesday night, so I am going to replace the carbon disc affair with a whole new setup, Exedy Organic Stage 1 Racing Clutch (Part No. 08806) and Exedy Chromoly Flywheel (Part no. HF02). I am getting the whole setup for £432 including shipping from the Good'ol US of A, looking at prices over here the Flywheel alone is £460 ex P&P and the Clutch around the £300 ex P&P so I can make a huge saving even if I have to pay the 20% VAT on the import.
Also my brakes have gone spongy since the ride out at Combe so I will be looking into that problem.
This will give me a perfect opportunity to give the car a good overhaul, just gutted because its gonna be an awesome weekend weatherwise......
I jsut found another good photo showing tyre roll on the Castle Combe Miniworld day on Facebook, if I remember rightly the guy chasing me down in his R1 mini is called Jason and is a mate of Les (Custom Minis Ltd), he got me on a corner in the esses where my back end went out a bit then the engine cut - at the next esses he went for a spin, good fun.....
10-7-2011
Oh OK, I thought it was a new size just been brought out my Kumho, I was already aware of that size. I get a discount of Toyo's so will probably be sticking with them purely from a cost point of view.
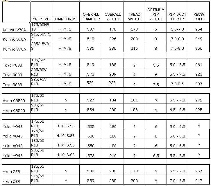
I put this table of R13 track day tyre sizes together for my own use but figured it might be of use to others -some of the info I could not find yet, if anyone can fill in the blanks it would be appreciated:
Updated, however I cand find any informaiton on the Avon site for CR500's in a 195/45 size????
11-15-2011
CHARGECOOLER ORDERED
Oh yes, my need for more power has at last been quenched, well the thought if it has as I have no idea exactly what numbers it'll put out with the chargecooler.
I am having the chargecooler cartidge made by Bell Intercoolers in the good ol US of A to my design. You will see in the pictures below that the unit sits between the charger and the intake manifold. Fingers crossed I got the design right - ha ha - only time will tell but its not that hard to do with the modelling of the charger and manifold I did last winter. I am hoping to get my TB-SC manifold finished this winter also so the gains should be pretty good. I am adding a snout clamp into the mix to hold the snout of charger firmly in place as it'll be using more BHP to spin it and it'll be spinning faster, this will remove a lot of stress from the bolts holding the intake manifold and I am looking to beef up the support under the intake manifold also.
So here are a couple of views of the intercooler unit as I designed it:

And here are a few of it in situ with the new TB-SC manifold and the 72mm Throttle body (both of which didnt get fitted earlier in the year):


As i get the part delivered I will get photos and update the build diary, I dont want to guess at final horsepower yet but cant wait to get it dyno'd in the spring - Whoop whoop.......
Wow this is amazing build!
Posted by Diggymart on 2/3/20 @ 4:10:14 AM